Introduction
Den vigtig retning i vibrations diagnostik af gas luftfart turbinemotorer og turbomaskiner er diagnostics gennem modellering. Modellering giver en mulighed for at knytte tilstedeværelsen af nogle former for maskiner defekter med tegn på sin tilstedeværelse i vibrationssignalhændelsen. En af sådanne defekter er crack optræden i akslerne af flymotorer og turbomaskiner som er utilladelige. Så den vigtigste opgave for det diagnostiske system er at opdage revne i tiden og forudsige dens fremskridt.
Appearance af revne i rotoren resulterer i lokal stivhed fald. Værdi af stivhed tab afhænger geometriske karakteristika revne. Hvis statisk belastning, såsom vægt påføres, revne åbner og lukker,når rotoren roterer. Som følge heraf ændrer akslen stivhed pr en cyklus. Crack i rotorsystemet fører til de following ændringer i vibrationssignal [1]:
·increase i amplitude af 1x harmoniske af rotationshastighed på grund af væksten af statisk deformation forårsaget af stivhed fald.
·appearance på 2x bestanddel af roterende hastighed som følge af asymmetrisk rotor stivhed.
·appearance af 3х komponent i roterende hastighed som følge af cyklisk åbning og lukning af revnen.
Den hovedopgave den matematiske model er beskrivelse af værdi og loven om lokal ændring i stivhed i
de sted Where revne sker overvejer så mange faktorer som muligt.
Der findes adskillige fremgangsmåder til simulere revne. I det enkleste tilfælde revne simuleres ved fald i radial stivhed af hele aksel [2,3,4]. I de øvrige tilfælde akseldelen, Where revne finder sted, er replace d med en tilsvarende bjælkeelement. Koefficienter af stivhed matrix af et sådant element er beregnet under revne i betragtning, og per en cyklus. I arbejdet [5] beregning af stivhed matrix af bjælkeelementet med revne er baseret på anvendelse af inerti øjeblikke af bjælkesektionen overvejer crack. I arbejdet [6] stivhed matrix af et sådant element er beregnet på grundlag af ligninger af mekanik af faste legemer ødelæggelse. Crack kan simuleres ved elastisk link forbinder boundary sektioner af akslen i stedet for dets placering og give revnen øjeblik stivhed [7,8].
Skift i crack stivhed afhængigt af dens åbning og lukning, mens rotoren roterer kan beskrives matematisk på forskellige måder. I det enkleste tilfælde kan det antages, at revne har kun to positioner: helt opened eller fuldstændigt lukket, og trinfunktion kan anvendes til at beskrive sin stivhed ændring matematisk [4].
Work [3] beskriver de fleste spread modeller af stivhed forandring. En af dem er Gasch ligning. Skift
i stivhed finder sted afhængig af vinklen mellem fase af statisk kraft og crack fase og beskrevet med 17 harmoniske af Fourierrækker. Den samme artikel giver Maes&Davies ligning Where stivhed skifter afhængigt af vinklen i henhold til cosinus lov. I Yang model stivhed ændringer ved cosinus lov i graden af relativ revne dybde.
Dette artiklen udvikler revnen model på grundlag af existed tilgange og præsenterer også den metode der giver mulighed for at fremhæve tegn anvendes til at påvise dets tilstand til dennøjagtige rotor.
Den algoritme er inkluderet i Dynamics R4 softwareprogram [9], som repræsenterer den dedikerede
system om beregning af dynamisk opførsel af komplekse rotor systemer.
Crack model
Within den accepterede simulation undfangelse, revne i akslen model er erstattet af en elastisk link dividere akslen i to sektioner og beskrive ved stivhedsmatrix med variabel koefficienter. Hvis der ikke revne, stamme kompatibilitet tilstand mellem sektionerne af akseldele er udført, så alle de gensidige forskydninger er forbudt. Vi indfører det roterende koordinatsystem ηOε liggende i revnen område, Figur 1. Dens oprindelse falder sammen med oprindelsen af det faste koordinatsystem XYZ. Akslen udfører to bevægelser - korrekt rotation og præcession omkring Z-aksen. Når der beskriver revne betragter vi kun rotation omkring η og-e akser. Forskydninger på andre frihed grader er forsømt.
Figure 1. Crack sektion
Flexibility matrix af forbindelsen simulerer revne i det roterende koordinatsystem kan skrives som following:
where q =j-a -forskel i faser, j -akselrotationen vinkel, a -præcession vinkel; gee (q) og ghh (q )-variabel coefficients for fleksibilitet øjeblik.
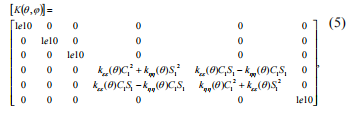
Flexibility afhænger vinkelqDa mens akslen roterer, revne åbner og lukker. Stivhedsmatrix opnås ved at vende[GR(q)]matrix, ognul fleksibilitet koefficienter på den vigtigste diagonal føre til opnåelse af stivhed koefficienter går til uendeligt. Vi begrænser værdien af sådanne stivhedskoefficienter ved 1е10 N/m; denne antagelse påvirker ikke signifikant resultat, dvs. vi opnå
Stiffness matrix omdannes til det faste koordinatsystem ved hjælp af følgende ligning:
Where[T]-rotation matrix (4), WhereC1=\\ underofficerer (j),S1=sin (j)
Multiplying matricer i korrespondance med ligning (3) får vi:.
Vi udførernogle transformationer, der giver mulighed for at overgå til den simplere beskrivelse af revnen stiffness matrix og algoritmen af dets koefficienter indhentning. I korrespondance med Maes model, den antages, at radial fleksibilitet af den cirkulære stråle med crack ændringer fra minimal til maksimal værdi ved cosinus lov.
Wher &101;#g0fleksibilitet af strålen uden revne (minimumsværdi),-gcfleksibilitet af strålen med åben- crack (maksimal værdi).
Vi erstatte revne ved et hængsel med øjeblik stivhed kinit mh . Bjælkeelementerne randbetingelser bør give sin statical definability som det vist i figur 2. 2
Figure . Udskiftning af revne ved hængsel
Tryk radial fleksibilitet fremhævet skaftafsnit med åben revne opnås som:
wher &101;#EYoung modulus,-Idiametrale inerti øjeblik af akselsektionen,-k init mh - koefficient på øjeblik stivhed af tilsvarende link svarende til helt åben revne.

Jobtitel: Product manager
Afdeling: Market Department
Firma Telefon: +86 021-59150215
E-mail: Kontakt os
Mobiltelefon: +86 13817160919
Internet side: lanzhusuperalloy.danb2b.com
Adresse: No. 2800 Caoxin Road, Xuhang Town, Jiading District, Shanghai